Forum
Wiki
Anmelden oder registrieren
Suche
Alles
Alles
Forum
Artikel
Seiten
Lexikon
Bilder
Erweiterte Suche
Deutsches Hay Day Forum
Hay Day Wiki
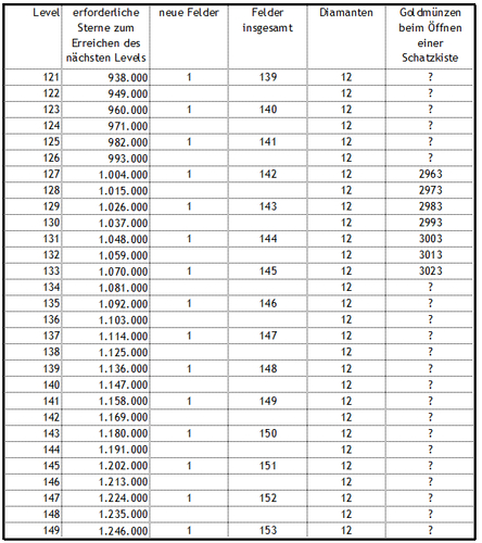
Level 121 - 149
Weitergeleitet von „Level 136“
Uwegan
26. Januar 2017
21. Dezember 2024
29.615 mal gelesen
Übersicht über die Level 121-149
Teilen
Facebook
Twitter
Reddit
WhatsApp
Pinterest
Vorheriger Eintrag
Level 120
Nächster Eintrag
Level 150
In Ihrem Webbrowser ist JavaScript deaktiviert. Um alle Funktionen dieser Website nutzen zu können, muss JavaScript aktiviert sein.